In the world of fitness and health, accurately understanding your body composition is crucial. Whether you're an athlete striving for peak performance or someone on a weight loss journey, knowing the specifics of your body fat percentage and muscle mass can significantly influence your progress and strategy. However, the tools we use to measure these metrics can sometimes lead us astray.
Recent research has highlighted the discrepancies between two popular methods: Dual-Energy X-ray Absorptiometry (DXA) and Bioelectrical Impedance Analysis (BIA). While BIA devices like Inbody and eVolt are popular due to their convenience and small footprint, they often show a significant bias in their readings.

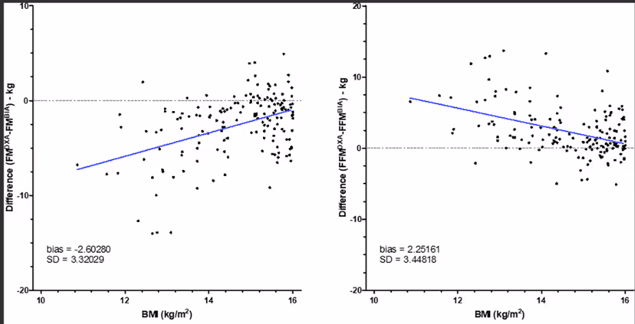
A comprehensive study published in PLOS ONE examined 3,655 body composition measurements, comparing the results of DXA and BIA across different BMI categories. The findings were revealing:
For business owners, the compact size and ease of use of BIA devices are attractive features. These devices are less expensive and more portable than DXA machines, making them accessible for gyms, wellness centers, and clinics. However, the trade-off comes in the form of accuracy. The PLOS ONE study highlights the need for business owners to be aware of the limitations and potential inaccuracies of BIA devices.
Beyond the inherent biases of BIA technology, there are other factors that can influence the consistency of readings. Hydration levels, for instance, can significantly affect BIA results. Variations in water intake, recent meals, and even the time of day can lead to inconsistent measurements, further complicating the reliability of these devices.
3D Optical Devices (3D Body Scanners), in comparison, do not have the same inconsistency issues with hydration & dieting as these technologies are not invasive.
At Fit3D, we believe in the importance of accurate and reliable body composition analysis. While BIA devices can offer a convenient snapshot, it's crucial to understand their limitations and biases. For those seeking precise and detailed insights, methods like DXA provide a more accurate assessment.
Understanding the tools you use and their potential biases is a step towards better health and fitness outcomes. If you’re using BIA devices, consider supplementing these readings with other methods or being mindful of the factors that can affect the accuracy. Knowledge is power, and in this case, it can lead to more effective and informed health decisions.
For a deeper dive into this research, you can read the full study here.
By recognizing and addressing the biases and limitations of body composition tools, we can ensure a more accurate understanding of our health and fitness, leading to better results and overall well-being.