A recent research study compared 3 major players in the 3D Scanning space. Generally, they all did well. 
However, the larger insight was that this report speaks to the importance of minimizing user movement overall. The two solutions described in this research speaks to either having handles, as seen on the Fit3D ProScanner, or by not having a turntable at all, as done by the SizeStream scanner 
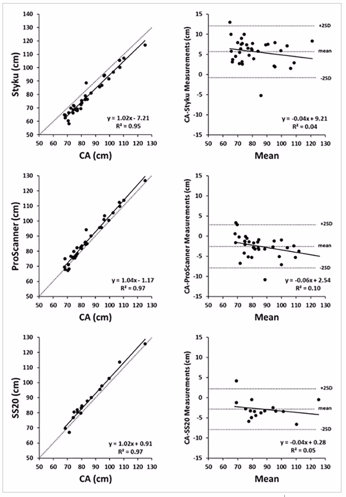
As show in other similar studies, Fit3D & the other competitors had an R-Squared value of over 0.9. Fit3D specifically had an R-Squared Value here of 0.97 as shown in the comparative table below. This is very good. This speaks to the quality of the scan capture & underlying body fat predictions. 
"Intra-scan movement was consistently less pronounced when device features helped stabilize the participant. For example, more movement and image distortion were apparent in scans from the Styku system that has a turntable but no handlebars. These movement artifacts have been observed in other studies; however, these artifacts rarely occurred in the present study with the systems that provided handles (Proscanner) or that had minimal scan times and remained stationary (SS20)."
The study then continued to talk about the importance of having multiple cameras versus one. Stating that overall, there was a large amount of distortion in scan capture as you went up or down the body. 
"(a) single stationary camera on the observed mean DA-CA differences can also be observed when moving distally along the leg. The mean difference between DA and corresponding CA measurements increases from 1–2 cm at the thighs to 2–3 cm at the calves, and then to 6 cm at the ankles. By contrast, for both Proscanner and SS20, the mean difference between DA and corresponding CA measurements at the thighs, calves, and ankles are all in the same range (1–3 cm) with no increasing pattern moving down along the legs.

The Study continued to address certain overall problem areas for 3D Optical Scanning in General in regards to the crotch area and having people in a T-Pose versus an A-Pose overall. These are ideas still being considered in other research articles. 
The larger goal of the study was to look at overall trends in this space for a universal code base. They concluded that "Considerably larger and more diverse samples will also allow for further examination of variables such as total scan time and how the time difference between left and right-side image capture with rotating platform systems influences scan quality. The current study identified these device hardware limitations and next generation systems can be designed to overcome these sources of measurement error." 
If you want to read the full article, you can access it here. 
Year: 2020